Questões de Matemática - Bombeiro Militar - Soldado

Limpar pesquisa

Configurar questões
Tamanho do Texto
Modo escuro

Questão: 16 de 123

407595

copy

Banca: IBFC

Órgão: CBM/SE

Cargo(s): Bombeiro Militar - Soldado

Ano: 2018

Matéria/Assunto: Matemática > Matemática básica / Progressões aritmética e geométrica

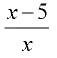
6

4

5

7,5

Questão: 17 de 123

407596

copy

Banca: IBFC

Órgão: CBM/SE

Cargo(s): Bombeiro Militar - Soldado

Ano: 2018

Matéria/Assunto: Matemática > Matemática básica / Álgebra / Funções / Outras funções

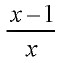
{(0,3);(1,4);(2,4)}

{(0,2);(1,2);(2,2)}

{(2,4);(0,2);(1,3)}

{(0,2);(1,3);(2,2)}

Questão: 18 de 123

407593

copy

Banca: IBFC

Órgão: CBM/SE

Cargo(s): Bombeiro Militar - Soldado

Ano: 2018

Matéria/Assunto: Matemática > Matemática básica / Teoria de conjuntos

(A U B) U C = {-2,-1,0,1,2,3,5,7}

B ∩ C = {0,3}

C - B = {-1,5,6,7}

A - C = {-2,1}

Questão: 19 de 123

Anulada

406830

copy

Banca: IDECAN

Órgão: CBM/RN

Cargo(s): Bombeiro Militar - Soldado

Ano: 2017

Matéria/Assunto: Matemática

4.

5.

6.

7.

Questão Anulada

Questão: 20 de 123

406833

copy

Banca: IDECAN

Órgão: CBM/RN

Cargo(s): Bombeiro Militar - Soldado

Ano: 2017

Matéria/Assunto: Matemática > Matemática básica / Geometria e trigonometria / Geometria Espacial

792 cm².

824 cm².

846 cm².

968 cm².