Questões de CESPE / Cebraspe - Análise combinatória e probabilidades
Limpar pesquisa
Questão: 66 de 925
1697340
Banca: CESPE / Cebraspe
Órgão: BASA
Ano: 2012
Matéria/Assunto: Estatística > Probabilidade / Cálculo de Probabilidades Usando Análise Combinatória
distintas em uma cartela que contém 30 dezenas, de 01 a 30. Em
seguida, faz-se a retirada aleatória e sem reposição de três bolas de
uma urna que contém 30 bolas numeradas de 01 a 30 e verifica-se
a coincidência entre as dezenas marcadas na cartela com aquelas
nas bolas numeradas. O apostador será vitorioso se houver
coincidência integral entre as três dezenas marcadas na cartela e as
das bolas numeradas, independentemente da ordem de retirada das
bolas.
Com base nessas informações, julgue os itens a seguir
acerca de conceitos de probabilidade.
apostador ser vitorioso é superior a 0,001.
Questão: 67 de 925
1697342
Banca: CESPE / Cebraspe
Órgão: BASA
Ano: 2012
Matéria/Assunto: Estatística > Probabilidade / Cálculo de Probabilidades Usando Análise Combinatória
distintas em uma cartela que contém 30 dezenas, de 01 a 30. Em
seguida, faz-se a retirada aleatória e sem reposição de três bolas de
uma urna que contém 30 bolas numeradas de 01 a 30 e verifica-se
a coincidência entre as dezenas marcadas na cartela com aquelas
nas bolas numeradas. O apostador será vitorioso se houver
coincidência integral entre as três dezenas marcadas na cartela e as
das bolas numeradas, independentemente da ordem de retirada das
bolas.
Com base nessas informações, julgue os itens a seguir
acerca de conceitos de probabilidade.
caso, a probabilidade de 06 ser a dezena na segunda bola
retirada é igual a 1/30.
Questão: 68 de 925
340733
Banca: CESPE / Cebraspe
Órgão: TJ/RO
Cargo(s): Analista Judiciário - Estatística
Ano: 2012
Matéria/Assunto: Estatística > Probabilidade / Cálculo de Probabilidades Usando Análise Combinatória
Para eventos A e B é válida a seguinte relação:
.
Se X1, X2, ..., Xn é uma sequência de eventos quaisquer, então 
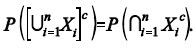
Se X1, X2, ..., Xn é uma sequência de eventos e 
é o evento complementar de Xi então 
Se Ac for o evento complementar do evento A, então
P(Ac) = 1 - P(A).
Se o evento B e o seu complemento Bc forem eventos
condicionantes do evento A, então P(A|Bc) ≠ 1 - P(A|B).
Questão: 69 de 925
338858
Banca: CESPE / Cebraspe
Órgão: EBC
Cargo(s): Jornalista de Empresa de Comunicação Pública - Jornalismo
Ano: 2011
Matéria/Assunto: Estatística > Probabilidade / Cálculo de Probabilidades Usando Análise Combinatória
local, metade sai às ruas em busca de notícias todos os dias e cada
um tem a obrigação de trazer à redação exatamente uma matéria.
A outra metade permanece na redação, editando suas matérias e
planejando as atividades do dia seguinte. Das 12 matérias que
chegam diariamente à redação, em razão de limitações de tempo,
apenas 10 vão ao ar. O editor chefe escolhe, pela ordem, aquelas de
maior impacto, seguidas daquelas que darão maior audiência.
Antes, porém, de ir ao ar, cada matéria passa pelos seguintes
processos de controle de qualidade: 1.º relevância; 2.º adequação ao
tempo; 3.º revisão linguística; 4.º diagramação do texto. Esse
controle de qualidade é feito por 4 profissionais, todos capacitados
para realizar qualquer dos processos de controle e, em cada dia,
cada um realiza apenas um dos processos.
Com base nessa situação, julgue os itens a seguir.
responsáveis pelos processos de controle de qualidade das
matérias jornalísticas e que eles tenham se organizado de
maneira que, em determinado dia, Pedro tenha executado o 1.º
processo, Paulo, o 2.º, Joana, o 3.º e Maria, o 4.º. Com base
nessa situação, é correto afirmar que, se, a cada dia, essa
equipe se organiza de forma diferente para a execução desses
processos, então, para que a organização observada no
primeiro dia se repita, serão necessários, pelo menos, 30 dias.
Questão: 70 de 925
338859
Banca: CESPE / Cebraspe
Órgão: EBC
Cargo(s): Jornalista de Empresa de Comunicação Pública - Jornalismo
Ano: 2011
Matéria/Assunto: Estatística > Probabilidade / Cálculo de Probabilidades Usando Análise Combinatória
local, metade sai às ruas em busca de notícias todos os dias e cada
um tem a obrigação de trazer à redação exatamente uma matéria.
A outra metade permanece na redação, editando suas matérias e
planejando as atividades do dia seguinte. Das 12 matérias que
chegam diariamente à redação, em razão de limitações de tempo,
apenas 10 vão ao ar. O editor chefe escolhe, pela ordem, aquelas de
maior impacto, seguidas daquelas que darão maior audiência.
Antes, porém, de ir ao ar, cada matéria passa pelos seguintes
processos de controle de qualidade: 1.º relevância; 2.º adequação ao
tempo; 3.º revisão linguística; 4.º diagramação do texto. Esse
controle de qualidade é feito por 4 profissionais, todos capacitados
para realizar qualquer dos processos de controle e, em cada dia,
cada um realiza apenas um dos processos.
Com base nessa situação, julgue os itens a seguir.
busca de notícias não dependa das atividades exercidas no dia
anterior. Nesse caso, a quantidade de maneiras distintas de se
selecionarem os repórteres que irão às ruas em busca de
notícias em determinado dia é igual a 24!/12!.