Questões de CESPE / Cebraspe - Análise combinatória e probabilidades

Limpar pesquisa

Configurar questões
Tamanho do Texto
Modo escuro

Questão: 111 de 925

314432

copy

Banca: CESPE / Cebraspe

Órgão: CGE/CE

Cargo(s): Auditor de Controle Interno - Fomento ao Controle Social

Ano: 2019

Matéria/Assunto: Estatística > Probabilidade / Cálculo de Probabilidades Usando Análise Combinatória

2.

18.

134.

178.

182.

Questão: 112 de 925

314147

copy

Banca: CESPE / Cebraspe

Órgão: SLU/DF

Cargo(s): Analista de Gestão de Resíduos Sólidos - Engenharia de Segurança do Trabalho

Ano: 2019

Matéria/Assunto: Estatística > Probabilidade / Cálculo de Probabilidades Usando Análise Combinatória




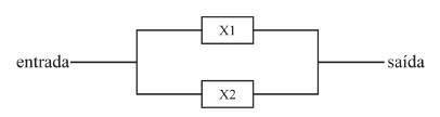
A figura precedente ilustra um sistema total composto por dois
subsistemas em paralelo: X1 e X2. O X1 possui confiabilidade
R1 = 0,70, e o X2, R2 = 0,60.


Considerando essas informações, julgue os itens seguintes.
A probabilidade de falha de cada subsistema é maior do que
a probabilidade de falha do sistema total.

Questão: 113 de 925

314145

copy

Banca: CESPE / Cebraspe

Órgão: SLU/DF

Cargo(s): Analista de Gestão de Resíduos Sólidos - Engenharia de Segurança do Trabalho

Ano: 2019

Matéria/Assunto: Estatística > Probabilidade / Cálculo de Probabilidades Usando Análise Combinatória




A figura precedente ilustra um sistema total composto por dois
subsistemas em paralelo: X1 e X2. O X1 possui confiabilidade
R1 = 0,70, e o X2, R2 = 0,60.


Considerando essas informações, julgue os itens seguintes.
A probabilidade de falha do subsistema X1 é maior que
50%.

Questão: 114 de 925

314146

copy

Banca: CESPE / Cebraspe

Órgão: SLU/DF

Cargo(s): Analista de Gestão de Resíduos Sólidos - Engenharia de Segurança do Trabalho

Ano: 2019

Matéria/Assunto: Estatística > Probabilidade / Cálculo de Probabilidades Usando Análise Combinatória




A figura precedente ilustra um sistema total composto por dois
subsistemas em paralelo: X1 e X2. O X1 possui confiabilidade
R1 = 0,70, e o X2, R2 = 0,60.


Considerando essas informações, julgue os itens seguintes.
A confiabilidade do sistema total é de 36%.

Questão: 115 de 925

309088

copy

Banca: CESPE / Cebraspe

Órgão: TJ/PA

Cargo(s): Analista Judiciário - Estatística

Ano: 2020

Matéria/Assunto: Estatística > Probabilidade / Cálculo de Probabilidades Usando Análise Combinatória

3/192.

3/72.

3/24.

3/18.

3/4.