Questões de Fundação Vunesp - Polinômios

Limpar pesquisa

Configurar questões
Tamanho do Texto
Modo escuro

Questão: 11 de 12

118354

copy

Banca: VUNESP

Órgão: Pref. São José do Rio Preto/SP

Cargo(s): Professor - Matemática | PEB II

Ano: 2011

Matéria/Assunto: Matemática > Polinômios e Equações Polinomiais. Expansão de Binômios. Triângulo de Pascal

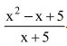
.

.

.

.

.

Questão: 12 de 12

501259

copy

Banca: VUNESP

Órgão: PM/SP

Cargo(s): Policial Militar - Aluno Oficial | Prova: Inglês

Ano: 2022

Matéria/Assunto: Matemática > Polinômios e Equações Polinomiais. Expansão de Binômios. Triângulo de Pascal

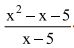
–3.

–2.

0.

5.

8.