Questões de Geografia Física - Geografia
Limpar pesquisa
Questão: 586 de 1803
249561
Banca: CESPE / Cebraspe
Órgão: Pref. São Luís/MA
Cargo(s): Professor - Geografia
Ano: 2017
Matéria/Assunto: Geografia > Geografia Física / Convenções Internacionais
A Organização do Tratado Atlântico Norte (OTAN) foi
formada com o propósito de desmilitarizar os países ocidentais
e, consequentemente, diminuir e eliminar as zonas de conflito.
O Fundo Monetário Internacional (FMI) foi criado para
auxiliar financeiramente seus países-membros.
A Organização das Nações Unidas para a Educação, a Ciência
e a Cultura (UNESCO) objetivava criar mecanismos de
investigação dos índices de mortalidade infantil.
O Acordo Geral sobre Tarifas e Comércio (GATT) teve como
função básica implantar uma tarifa única sobre os produtos
e serviços internacionais em um nível global.
A Organização das Nações Unidas (ONU) foi instituída para
compor um exército formado por tropas internacionais a fim
de evitar qualquer possibilidade de guerras.
Questão: 587 de 1803
249110
Banca: FGV
Órgão: PM/MA
Cargo(s): Policial Militar - Soldado Combatente
Ano: 2012
Matéria/Assunto: Geografia > Geografia Física / Agricultura
se somente a afirmativa I estiver correta.
se somente a afirmativa III estiver correta.
se somente as afirmativas I e II estiverem corretas.
se somente as afirmativas II e III estiverem corretas.
se todas as afirmativas estiverem corretas.
Questão: 588 de 1803
245668
Banca: IBFC
Órgão: PM/BA
Cargo(s): Policial Militar - Aluno Soldado
Ano: 2017
Matéria/Assunto: Geografia > Geografia Física / Terra / Relevo
I-Planícies; II-Planaltos; III-Depressões
I-Planaltos; II-Planícies; III-Depressões
I-Planícies; II-Depressões; III-Planaltos
I-Depressões; II-Planícies; III-Planaltos
I-Depressões; II-Planaltos; III-Planícies
Questão: 589 de 1803
245264
Banca: CESPE / Cebraspe
Órgão: SEDUC/ES
Cargo(s): Professor - Geografia
Ano: 2012
Matéria/Assunto: Geografia > Geografia Física / Clima

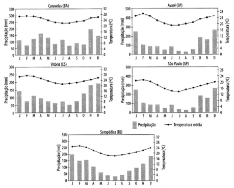
F. Mendonça, I. M. Danni-Oliveira. Climatologia: noções básicas
e climas do Brasil. São Paulo: Oficina de Textos, 2007.
Julgue os itens a seguir, relativos às características do clima representado
pelos climogramas acima.
período seco entre maio e setembro.
Questão: 590 de 1803
245292
Banca: CESPE / Cebraspe
Órgão: SEDUC/ES
Cargo(s): Professor - Geografia
Ano: 2012
Matéria/Assunto: Geografia > Geografia Física / Domínios climáticos
paisagens naturais, em virtude de sua extensão, sobretudo no que se
refere à posição geográfica.
Com relação a esse assunto, julgue os
itens a seguir.
desde a época do Brasil colônia.