Questões de Geometria Molecular

Limpar pesquisa

Configurar questões
Tamanho do Texto
Modo escuro

Questão: 76 de 99

449922

copy

Banca: CESPE / Cebraspe

Órgão: SEGESP/AL

Cargo(s): Perito Criminal - Engenharia Química

Ano: 2013

Matéria/Assunto: Química > Química Geral e Inorgânica / Geometria Molecular, Polaridade e Forças Intermoleculares

Com base nas propriedades químicas de compostos, julgue o item subsequente.
A molécula de amônia (NH3) apresenta geometria tetraédrica e topologia piramidal.

Questão: 77 de 99

449892

copy

Banca: CESPE / Cebraspe

Órgão: SEGESP/AL

Cargo(s): Perito Criminal - Engenharia Química

Ano: 2013

Matéria/Assunto: Química > Química Geral e Inorgânica / Geometria Molecular, Polaridade e Forças Intermoleculares




Ayahuasca é uma bebida produzida a partir de duas plantas amazônicas, Banisteriopsis caapi e Psychotria viridis, utilizada em rituais religiosos. Nessa bebida podem ser encontradas as substâncias harmina, harmalina e tetraidroarmina, as quais atuam no sistema nervoso central. Com base nessa informação e nas estruturas químicas mostradas acima, julgue o item a seguir.
Os átomos de nitrogênio de harmalina, harmina e N-acetil-6-metoxitriptamina apresentam geometria trigonal plana.

Questão: 78 de 99

449893

copy

Banca: CESPE / Cebraspe

Órgão: SEGESP/AL

Cargo(s): Perito Criminal - Engenharia Química

Ano: 2013

Matéria/Assunto: Química > Química Geral e Inorgânica / Geometria Molecular, Polaridade e Forças Intermoleculares




Ayahuasca é uma bebida produzida a partir de duas plantas amazônicas, Banisteriopsis caapi e Psychotria viridis, utilizada em rituais religiosos. Nessa bebida podem ser encontradas as substâncias harmina, harmalina e tetraidroarmina, as quais atuam no sistema nervoso central. Com base nessa informação e nas estruturas químicas mostradas acima, julgue o item a seguir.
A tetraidroarmina apresenta maior solubilidade em solução aquosa ácida que o ácido (9Z)-octadec-9-enoico.

Questão: 79 de 99

449901

copy

Banca: CESPE / Cebraspe

Órgão: SEGESP/AL

Cargo(s): Perito Criminal - Engenharia Química

Ano: 2013

Matéria/Assunto: Química > Química Geral e Inorgânica / Geometria Molecular, Polaridade e Forças Intermoleculares




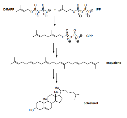
O processo de biossíntese do colesterol inicia-se na reação entre dimetilalilpirofosfato (DMAPP) e isopentenilpirofosfato (IPP). O produto dessa reação é o geranilpirofosfato (GPP) que, além de conduzir à síntese de colesterol, por meio da formação de esqualeno, também origina a vasta classe dos terpenos. Com relação às reações envolvidas na síntese do colesterol e às estruturas químicas dos compostos relacionados descritas na figura acima, julgue o item a seguir.
O esqualeno apresenta maior solubilidade em água que o GPP.

Questão: 80 de 99

449904

copy

Banca: CESPE / Cebraspe

Órgão: SEGESP/AL

Cargo(s): Perito Criminal - Engenharia Química

Ano: 2013

Matéria/Assunto: Química > Química Geral e Inorgânica / Geometria Molecular, Polaridade e Forças Intermoleculares




O processo de biossíntese do colesterol inicia-se na reação entre dimetilalilpirofosfato (DMAPP) e isopentenilpirofosfato (IPP). O produto dessa reação é o geranilpirofosfato (GPP) que, além de conduzir à síntese de colesterol, por meio da formação de esqualeno, também origina a vasta classe dos terpenos. Com relação às reações envolvidas na síntese do colesterol e às estruturas químicas dos compostos relacionados descritas na figura acima, julgue o item a seguir.
A ligação C-O de IPP é mais polarizada que a ligação C-O de DMAPP.