Questões de Matemática básica
Limpar pesquisa
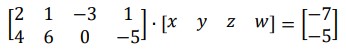
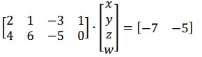
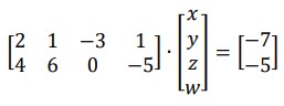
Questão: 266 de 19647
2268837
Banca: FGV
Órgão: SEDUC/MT
Cargo(s): Professor - Matemática
Ano: 2025
Gabarito: Oficial
Matéria/Assunto: Matemática > Matemática básica / Álgebra / Sistemas Lineares; Matrizes; Determinantes





Questão: 267 de 19647
2268839
Banca: FGV
Órgão: SEDUC/MT
Cargo(s): Professor - Matemática
Ano: 2025
Gabarito: Oficial
Matéria/Assunto: Matemática > Matemática básica / Geometria e trigonometria / Geometria Plana
7.
18.
29.
32.
36.
Questão: 268 de 19647
2268842
Banca: FGV
Órgão: SEDUC/MT
Cargo(s): Professor - Matemática
Ano: 2025
Gabarito: Oficial
Matéria/Assunto: Matemática > Matemática básica / Análise de Tabelas e Gráficos
I e II.
I e III.
I e IV.
II e III.
II e IV.
Questão: 269 de 19647
2268843
Banca: FGV
Órgão: SEDUC/MT
Cargo(s): Professor - Matemática
Ano: 2025
Gabarito: Oficial
Matéria/Assunto: Matemática > Matemática básica / Geometria e trigonometria / Geometria Espacial
15
12
9
8
6
Questão: 270 de 19647
2268828
Banca: FGV
Órgão: SEDUC/MT
Cargo(s): Professor - Matemática
Ano: 2025
Gabarito: Oficial
Matéria/Assunto: Matemática > Matemática básica / Progressões aritmética e geométrica
crescente e a razão é igual a 4.
decrescente e o décimo segundo termo é 408.
crescente e o vigésimo termo é 792.
decrescente e o nono termo é 392.
crescente, a razão é igual a 6 e o décimo quinto termo é 426.