Questões de Matemática superior - Derivadas

Limpar pesquisa

Configurar questões
Tamanho do Texto
Modo escuro

Questão: 66 de 221

350829

copy

Banca: CESPE / Cebraspe

Órgão: BASA

Cargo(s): Técnico Científico - Estatística

Ano: 2010

Matéria/Assunto: Matemática > Tópicos de Matemática (Ensino Superior)

Com relação ao cálculo de probabilidades, julgue o item a seguir.
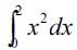
Ao se aplicar a regra de Simpson, com h = 1, para aproximar
o resultado da integral , obtém-se um erro
aproximação igual a 0,01.

Questão: 67 de 221

349115

copy

Banca: FADESP

Órgão: IF/PA

Cargo(s): Professor - Matemática

Ano: 2018

Matéria/Assunto: Matemática > Tópicos de Matemática (Ensino Superior)

-1/2.

½ .

0.

1.

-1.

Questão: 68 de 221

343422

copy

Banca: CESPE / Cebraspe

Órgão: DETRAN/ES

Cargo(s): Estatístico

Ano: 2010

Matéria/Assunto: Matemática > Tópicos de Matemática (Ensino Superior)

Julgue o item seguinte, relativo à análise matemática.
A integral é divergente.

Questão: 69 de 221

343424

copy

Banca: CESPE / Cebraspe

Órgão: DETRAN/ES

Cargo(s): Estatístico

Ano: 2010

Matéria/Assunto: Matemática > Tópicos de Matemática (Ensino Superior)

Julgue o item seguinte, relativo à análise matemática.
No plano cartesiano xOy, a área da região finita entre os gráficos das parábolas y = x² e y = 2x - x² é inferior a 1 unidade de área.

Questão: 70 de 221

343426

copy

Banca: CESPE / Cebraspe

Órgão: DETRAN/ES

Cargo(s): Estatístico

Ano: 2010

Matéria/Assunto: Matemática > Tópicos de Matemática (Ensino Superior)

Julgue o item seguinte, relativo à análise matemática.
A série converge para todo x e (-2,2).