Questões de Matemática superior - Derivadas
Limpar pesquisa
Questão: 86 de 221
321932
Banca: IBFC
Órgão: Pref. Conde/PB
Cargo(s): Professor - Matemática | Professor B
Ano: 2019
Matéria/Assunto: Matemática > Tópicos de Matemática (Ensino Superior)
Aritmética, Números, Álgebra, Grandezas e
medidas, Probabilidade e Estatística
Números, Álgebra, Grandezas e Medidas,
Geometria, Tratamento da Informação
Números, Geometria, Probabilidade e
Estatística, Grandezas e Medidas, Álgebra
Geometria, Probabilidade e Estatística,
Grandezas e Medidas, Aritmética, Álgebra
Questão: 87 de 221
321935
Banca: IBFC
Órgão: Pref. Conde/PB
Cargo(s): Professor - Matemática | Professor B
Ano: 2019
Matéria/Assunto: Matemática > Tópicos de Matemática (Ensino Superior)
Enfrentar situações-problema em múltiplos
contextos, excluindo-se situações imaginadas,
diretamente relacionadas com o aspecto
prático-utilitário, expressar suas respostas sem
sintetizar conclusões, utilizando diferentes
registros e linguagens: gráficos, tabelas,
esquemas, além de texto escrito na língua
materna
Agir individual ou cooperativamente com
autonomia, responsabilidade e flexibilidade, no
desenvolvimento e/ou discussão de projetos,
que abordem, sobretudo, questões de urgência
social, com base em princípios éticos,
democráticos, sustentáveis e solidários,
valorizando a diversidade de opiniões de
indivíduos e de grupos sociais, sem
preconceitos de qualquer natureza
Sentir-se seguro da própria capacidade de
construir e aplicar conhecimentos matemáticos,
desenvolvendo a autoestima e a perseverança
na busca de soluções
Reconhecer que a Matemática é uma ciência
humana, fruto das necessidades e
preocupações de diferentes culturas, em
diferentes momentos históricos, e é uma
ciência viva, que contribui para solucionar
problemas científicos e tecnológicos e para
alicerçar descobertas e construções, inclusive
com impactos no mundo do trabalho
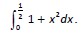
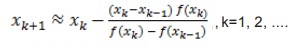
Questão: 88 de 221
301345
Banca: Instituto QUADRIX
Órgão: Pref. Cristalina/GO
Cargo(s): Professor - Educação | Pedagogo
Ano: 2018
Matéria/Assunto: Matemática > Tópicos de Matemática (Ensino Superior)





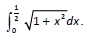
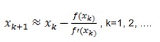
Questão: 89 de 221
300537
Banca: AOCP
Órgão: ADAF/AM
Cargo(s): Estatística
Ano: 2018
Matéria/Assunto: Matemática > Tópicos de Matemática (Ensino Superior)





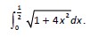
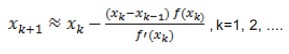
Questão: 90 de 221
300561
Banca: AOCP
Órgão: ADAF/AM
Cargo(s): Estatística
Ano: 2018
Matéria/Assunto: Matemática > Tópicos de Matemática (Ensino Superior)




