Questões de Matemática superior - Derivadas
Limpar pesquisa
Questão: 96 de 221
274091
Banca: CESPE / Cebraspe
Órgão: PGE/PE
Cargo(s): Analista Administrativo da Procuradoria - Calculista
Ano: 2019
Matéria/Assunto: Matemática > Tópicos de Matemática (Ensino Superior)
hipotética, seguida de uma assertiva a ser julgada, a respeito
de máximos e mínimos de funções, da regra de trapézio para
cálculo aproximado de integrais e de análise combinatória.
por segundo, de um móvel, entre os instantes t = 0 s e t = 10 s,
e anotou os dados na tabela a seguir.

Se entre t = 0 s e t = 10 s o móvel tiver percorrido

metros, então, depreende-se do cálculo dessa
integral pela regra do trapézio que S < 230 m.
Questão: 97 de 221
274187
Banca: CESPE / Cebraspe
Órgão: PGE/PE
Cargo(s): Analista Administrativo da Procuradoria - Calculista
Ano: 2019
Matéria/Assunto: Matemática > Tópicos de Matemática (Ensino Superior)
hipotética, seguida de uma assertiva a ser julgada, a respeito
de máximos e mínimos de funções, da regra de trapézio para
cálculo aproximado de integrais e de análise combinatória.
setor público, 5 se referem a adicional de periculosidade.
Para agilidade na discussão e no julgamento, esses 12 processos serão agrupados em pares. Nesse caso,
a quantidade de pares de processos distintos que podem
ser formados de modo que pelo menos um dos processos
se refira a adicional de periculosidade é igual a 35.
Questão: 98 de 221
200704
Banca: CESPE / Cebraspe
Órgão: SEPLAG/DFT
Cargo(s): Professor - Matemática
Ano: 2008
Matéria/Assunto: Matemática > Tópicos de Matemática (Ensino Superior)
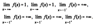
xOy, as seguintes informações acerca de uma função y = f (x):
(a) D = domínio da f = R- {-1, 1};
(b) f é contínua em todos os pontos de seu domínio;
(c) sua segunda derivada, f", é positiva em todo o seu domínio;
(d) sua primeira derivada, f', se anula somente em x = 0;
(e)

Com base nessas informações, julgue os itens a seguir.
função f.
Questão: 99 de 221
200751
Banca: CESPE / Cebraspe
Órgão: SEDUC/DF
Cargo(s): Professor - Matemática | Classe A
Ano: 2006
Matéria/Assunto: Matemática > Tópicos de Matemática (Ensino Superior)
função polinomial de grau m > 3, julgue os próximos itens.
menor que m.
Questão: 100 de 221
200798
Banca: CESPE / Cebraspe
Órgão: SEPLAG/DFT
Cargo(s): Professor - Matemática
Ano: 2008
Matéria/Assunto: Matemática > Tópicos de Matemática (Ensino Superior)
xOy, as seguintes informações acerca de uma função y = f (x):
(a) D = domínio da f = R- {-1, 1};
(b) f é contínua em todos os pontos de seu domínio;
(c) sua segunda derivada, f", é positiva em todo o seu domínio;
(d) sua primeira derivada, f', se anula somente em x = 0;
(e)

Com base nessas informações, julgue os itens a seguir.