Questões de Matemática superior - Derivadas

Limpar pesquisa

Configurar questões
Tamanho do Texto
Modo escuro

Questão: 101 de 221

188582

copy

Banca: FCC

Órgão: SEAD/BA

Cargo(s): Perito - Criminalístico

Ano: 2014

Matéria/Assunto: Matemática > Tópicos de Matemática (Ensino Superior)

33/5

35/4

31/3

31/6

33/6

Questão: 102 de 221

188406

copy

Banca: FCC

Órgão: SEAD/BA

Cargo(s): Perito - Criminalístico

Ano: 2014

Matéria/Assunto: Matemática > Tópicos de Matemática (Ensino Superior)

1 ou 2

1 ou 4

2 ou 4

2 ou 3

3 ou 4

Questão: 103 de 221

181073

copy

Banca: CESPE / Cebraspe

Órgão: MPU

Cargo(s): Analista - Estatística

Ano: 2013

Matéria/Assunto: Matemática > Tópicos de Matemática (Ensino Superior)


A tabela acima mostra os resultados de um estudo demográfico em
que se analisou o crescimento da população de determinada cidade
ao longo do tempo. Considerando os dados da tabela e uma curva
de crescimento exponencial y = ε α eβt, em que e representa um erro aleatório com média unitária, julgue os itens subsequentes.
Calculando-se as derivadas parciais Sα e Sβ da soma dos erros quadrados, as equações Sα = 0 e Sβ = 0 fornecem asseguintes equações normais:

Questão: 104 de 221

162450

copy

Banca: CESGRANRIO

Órgão: BASA

Cargo(s): Técnico Bancário

Ano: 2013

Matéria/Assunto: Matemática > Tópicos de Matemática (Ensino Superior)

.

.

.

.

.

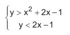
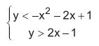
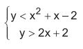
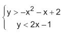
Questão: 105 de 221

146477

copy

Banca: CONSULPLAN

Órgão: TSE

Cargo(s): Analista Judiciário - Estatística

Ano: 2012

Matéria/Assunto: Matemática > Tópicos de Matemática (Ensino Superior)

.

.

.

.