Questões de Matemática superior - Derivadas

Limpar pesquisa

Configurar questões
Tamanho do Texto
Modo escuro

Questão: 106 de 221

146556

copy

Banca: CONSULPLAN

Órgão: TSE

Cargo(s): Analista Judiciário - Estatística

Ano: 2012

Matéria/Assunto: Matemática > Tópicos de Matemática (Ensino Superior)

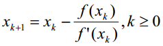
apresenta ordem de convergência 3 e sua função de iteração é: .

apresenta ordem de convergência 2 e sua função de iteração é: .

apresenta ordem de convergência 3 e sua função de iteração é: .

apresenta ordem de convergência 2 e sua função de iteração é:.

Questão: 107 de 221

146566

copy

Banca: CONSULPLAN

Órgão: TSE

Cargo(s): Analista Judiciário - Estatística

Ano: 2012

Matéria/Assunto: Matemática > Tópicos de Matemática (Ensino Superior)

.

.

.

.

Questão: 108 de 221

146624

copy

Banca: CONSULPLAN

Órgão: TSE

Cargo(s): Analista Judiciário - Estatística

Ano: 2012

Matéria/Assunto: Matemática > Tópicos de Matemática (Ensino Superior)

arctan x + C.

senx + cos x + C.

xarctanx – 1/2ln(1 + x2) + C.

xarctanx + ln (1/x2) + C.

Questão: 109 de 221

144508

copy

Banca: ESAF

Órgão: SUSEP

Cargo(s): Analista Técnico - Atuária

Ano: 2010

Matéria/Assunto: Matemática > Tópicos de Matemática (Ensino Superior)

f(x) = (2π)-1/2 exp(-(x - λ)2 /2).

f(x) = e-λλx/x!.

f(x) = e-x/λ/λ.

f(x) = λe-λx.

f(x) = exp(-λ) xλ /x!.

Questão: 110 de 221

116759

copy

Banca: CESGRANRIO

Órgão: IBGE

Cargo(s): Estatístico

Ano: 2010

Matéria/Assunto: Matemática > Tópicos de Matemática (Ensino Superior)

1/8.

1/6.

1/4.

1/3.

1/2.