Questões de Matemática superior - Derivadas

Limpar pesquisa

Configurar questões
Tamanho do Texto
Modo escuro

Questão: 121 de 221

112229

copy

Banca: CESPE / Cebraspe

Órgão: TJ/ES

Cargo(s): Analista Judiciário II - Estatística

Ano: 2011

Matéria/Assunto: Matemática > Tópicos de Matemática (Ensino Superior)

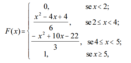
Considerando que X seja uma variável aleatória cuja função de
probabilidade acumulada, F(x), é expressa por


julgue os seguintes itens.
A função F(x) é contínua e diferenciável em todo o seu
domínio.

Questão: 122 de 221

112244

copy

Banca: CESPE / Cebraspe

Órgão: FUB

Cargo(s): Estatístico

Ano: 2011

Matéria/Assunto: Matemática > Tópicos de Matemática (Ensino Superior)

Julgue os seguintes itens, relativos a probabilidade e análise
matemática.
A série converge para exp( ) para todo e qualquer real.

Questão: 123 de 221

112287

copy

Banca: CESPE / Cebraspe

Órgão: TRE/ES

Cargo(s): Analista Judiciário - Estatística

Ano: 2011

Matéria/Assunto: Matemática > Tópicos de Matemática (Ensino Superior)

Considerando o problema de maximização da função
f(x1, x2) = x1 + 2x2, sujeita às restrições:
julgue os itens seguintes.
A inversão da desigualdade na restrição x1 + x2 7 não altera
o ponto ótimo do sistema.

Questão: 124 de 221

112294

copy

Banca: CESPE / Cebraspe

Órgão: TJ/ES

Cargo(s): Analista Judiciário II - Estatística

Ano: 2011

Matéria/Assunto: Matemática > Tópicos de Matemática (Ensino Superior)

Uma distribuição conjunta é expressa por F(x, y) = C(FX(x), FY(y)), em que C(u, v) é uma função derivável apropriada e FX(x) e FY(y) são, respectivamente, as funções de distribuição acumulada das
variáveis aleatórias X e Y. Julgue os itens subsequentes a respeito
dessa distribuição.
A função f(x, y) = fX(x)fY(y)C'(fXY(x)), em que fX(x) e fY(y)
são as densidades de X e Y, e CN(u, v) é a derivada da função C'(u, v), é a densidade conjunta.

Questão: 125 de 221

112306

copy

Banca: CESPE / Cebraspe

Órgão: FUB

Cargo(s): Estatístico

Ano: 2011

Matéria/Assunto: Matemática > Tópicos de Matemática (Ensino Superior)

Julgue, em cada um dos itens seguintes, se está correta a associação
entre método numérico e procedimento estatístico.
Newton-Raphson integração numérica de função densidade.