Questões de Matemática superior - Derivadas

Limpar pesquisa

Configurar questões
Tamanho do Texto
Modo escuro

Questão: 126 de 221

112323

copy

Banca: CESPE / Cebraspe

Órgão: TRE/ES

Cargo(s): Analista Judiciário - Estatística

Ano: 2011

Matéria/Assunto: Matemática > Tópicos de Matemática (Ensino Superior)

Acerca da função em que x é um número real,
julgue os itens seguintes.
O máximo de f(x) ocorre em x = 0.

Questão: 127 de 221

112333

copy

Banca: CESPE / Cebraspe

Órgão: TJ/ES

Cargo(s): Analista Judiciário II - Estatística

Ano: 2011

Matéria/Assunto: Matemática > Tópicos de Matemática (Ensino Superior)

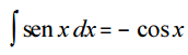
Julgue o item abaixo sabendo que sen 0 = cos = 0, que
e que .
Para que a função f(x,y) , definida para
seja uma densidade conjunta de
probabilidade, é necessário que k seja igual a .

Questão: 128 de 221

112339

copy

Banca: CESPE / Cebraspe

Órgão: FUB

Cargo(s): Estatístico

Ano: 2011

Matéria/Assunto: Matemática > Tópicos de Matemática (Ensino Superior)

Julgue, em cada um dos itens seguintes, se está correta a associação
entre método numérico e procedimento estatístico.
decomposição de Choleski integração numérica de função
densidade.

Questão: 129 de 221

112396

copy

Banca: CESPE / Cebraspe

Órgão: TJ/ES

Cargo(s): Analista Judiciário II - Estatística

Ano: 2011

Matéria/Assunto: Matemática > Tópicos de Matemática (Ensino Superior)

Considerando que X seja uma variável aleatória cuja função de
probabilidade acumulada, F(x), é expressa por


julgue os seguintes itens.
Para o intervalo 2 x 5, é correto escrever a função de
densidade de probabilidade da variável X, f(x), como
f(x) = mínimo .

Questão: 130 de 221

112051

copy

Banca: CESPE / Cebraspe

Órgão: SES/ES

Cargo(s): Esp. Gestão, Regulação e Vigilância em Saúde - Estatístico Vig. em Saúde

Ano: 2011

Matéria/Assunto: Matemática > Tópicos de Matemática (Ensino Superior)

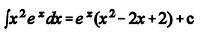
Julgue os próximos itens, a respeito de análise matemática.
, em que c é uma constante real.